找回密碼
 註冊
搜索
查看: 1459|回復: 0

[教學] 卷積神經網路 CNN 的倒傳遞推導與稀疏矩陣觀點來看卷積計算

[複製鏈接]
發表於 2021-2-6 12:08:08 | 顯示全部樓層 |閱讀模式
 
Push to Facebook

卷積神經網路(Convolutional neural network, CNN)其他相關連結我也一起列上來


NN-2–1 卷積神經網路(Convolutional neural network, CNN) — 卷積運算、池化運算
NN-2–2 卷積神經網路(Convolutional neural network, CNN) — CNN運算流程
NN-2–3 卷積神經網路(Convolutional neural network, CNN):卷積計算的倒傳遞推導與稀疏矩陣觀點來看卷積計算
NN-2–4 卷積神經網路(Convolutional neural network, CNN):卷積計算中的步伐(stride)和填充(padding)
NN-2–5 卷積神經網路(Convolutional neural network, CNN): 1×1卷積計算在做什麼

這篇的重點在

1. 卷積計算的倒傳遞推導方式

2. 從稀疏矩陣(sparse matrix)觀點來看卷積計算


卷積計算的倒傳遞推導方式

卷積計算的forward pass和backward pass計算就如同一般MLP的倒傳遞計算方式一樣都是如下圖:


卷積神經網路 CNN 傳遞推導 稀疏矩陣 卷積計算

卷積神經網路 CNN  傳遞推導 稀疏矩陣 卷積計算



差別在於x部份與w部份,MLP在x部份通常是一個1D array的input,w則是全連結權重(fully connection)。

而在卷積計算(一般影像的卷積)部份:
x: 影像(2D array)
w: kernel map
h: output
卷積計算通常是實現局部連結(local connection)

這篇文張會舉一個影像大小是3*3,kernel map為2*2的例子來說明。

影像:


卷積神經網路 CNN 傳遞推導 稀疏矩陣 卷積計算

卷積神經網路 CNN  傳遞推導 稀疏矩陣 卷積計算



Kernel map:


卷積神經網路 CNN 傳遞推導 稀疏矩陣 卷積計算

卷積神經網路 CNN  傳遞推導 稀疏矩陣 卷積計算



Forward pass:

卷積計算,stride=1如下:

*: convolution


卷積神經網路 CNN 傳遞推導 稀疏矩陣 卷積計算

卷積神經網路 CNN  傳遞推導 稀疏矩陣 卷積計算




卷積神經網路 CNN 傳遞推導 稀疏矩陣 卷積計算

卷積神經網路 CNN  傳遞推導 稀疏矩陣 卷積計算




卷積神經網路 CNN 傳遞推導 稀疏矩陣 卷積計算

卷積神經網路 CNN  傳遞推導 稀疏矩陣 卷積計算




Backward pass:

卷積神經網路 CNN 傳遞推導 稀疏矩陣 卷積計算

卷積神經網路 CNN  傳遞推導 稀疏矩陣 卷積計算



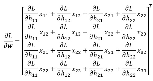
因為這邊需要學習的參數是kernel map(w)內的元素(wij),所以需要對卷積後的輸出和下一層的loss function(L)作偏微分(denote: ∂L / ∂w),可以參考MLP那篇文章,然後因為∂L / ∂w無法直接計算,利用chain rule將其拆成兩項


卷積神經網路 CNN 傳遞推導 稀疏矩陣 卷積計算

卷積神經網路 CNN  傳遞推導 稀疏矩陣 卷積計算



此時,∂L / ∂h和∂h / ∂w比較容易計算,如下:


卷積神經網路 CNN 傳遞推導 稀疏矩陣 卷積計算

卷積神經網路 CNN  傳遞推導 稀疏矩陣 卷積計算




卷積神經網路 CNN 傳遞推導 稀疏矩陣 卷積計算

卷積神經網路 CNN  傳遞推導 稀疏矩陣 卷積計算







從稀疏矩陣觀點來看卷積計算Forward pass:

上述forward pass卷積的式子其實等價於兩個矩陣相成如下:


卷積神經網路 CNN 傳遞推導 稀疏矩陣 卷積計算

卷積神經網路 CNN  傳遞推導 稀疏矩陣 卷積計算



所以從這個式子來看其實卷積計算其實等價於一個MLP的一層,只是這個權重矩陣(W)為一個稀疏矩陣,而輸出層連結用到的概念是Local connected neural nets和權重共享(Shared Weight)的概念,權重在此範例只有4個(kernel map的元素)。

Note: 稀疏矩陣(sparse matrix)簡單說就是一個矩陣,裡面有很多元素都是0。

下圖是我做出來我覺得可以完整介紹為什麼是Local connection,左圖為「全連結」的連結方式,右圖為「區域連結」的連結方式

「全連結」的每個weight都是一個參數,此例共有9*4=36個參數
「區域連結」有權重共享的好處,此例則會只有4個參數。


卷積神經網路 CNN 傳遞推導 稀疏矩陣 卷積計算

卷積神經網路 CNN  傳遞推導 稀疏矩陣 卷積計算




Backward pass:

雖然local connection部份看起來很像full connection,但倒傳遞部份找解不是完全跟MLP一樣

Recall: 前面的backward pass結果

卷積神經網路 CNN 傳遞推導 稀疏矩陣 卷積計算

卷積神經網路 CNN  傳遞推導 稀疏矩陣 卷積計算




從上圖看到黃色的線(權重是w11),在backward pass部份則是只看黃色線有連結到的部份


卷積神經網路 CNN 傳遞推導 稀疏矩陣 卷積計算

卷積神經網路 CNN  傳遞推導 稀疏矩陣 卷積計算



最後附上讓你看的不要不要的詳細推導: https://pdfs.semanticscholar.org/5d79/11c93ddcb34cac088d99bd0cae9124e5dcd1.pdf


文章出處
 
您需要登錄後才可以回帖 登錄 | 註冊

本版積分規則

Archiver|手機版|小黑屋|TShopping

GMT+8, 2025-11-6 16:25 , Processed in 0.028181 second(s), 24 queries .

Powered by Discuz! X3.5

© 2001-2025 Discuz! Team.

快速回復 返回頂部 返回列表